Leveraging Multi-Dimensionality in Passive Indoor Wi-Fi Tracking
2020년 9월 쯤에 랩 선배 추천으로 읽은 논문인데, 일정에 쫓겨 정리를 하다 말았음에도 그냥 지우자니 아까워서 부분이나마 블로그에 올려 본다.
원문 : Xie, Yaxiong, Jie, Xiong, Mo, Li, and Kyle, Jamieson. "MD-Track: Leveraging Multi-Dimensionality for Passive Indoor Wi-Fi Tracking." In The 25th Annual International Conference on Mobile Computing and Networking. Association for Computing Machinery, 2019.
이 논문에서는 뭘 하는가?
광대역폭이나 대형 안테나 배열이 없어도 다차원 시그널을 잘 분해하는 시스템 "mD-Track"을 구현한다.
SpotFi와 비교했을 때 약 3.5배의 성능 차이를 보였다고 한다.
무선 채널 모델
여기서 중요한 건 신호 전파에서 각 Multipath 성분의 파라미터를 얼마나 정확히 얻어내느냐가 된다.
경로 성분의 파라미터
파라미터의 종류는 크게 4가지가 있다.
- ToF ($\mathbf{\tau}$). 이것과 Tx-Rx 사이의 길이를 알면 해당 신호의 전파 경로의 범위를 타원형으로 한정지을 수 있다. 이 논문에 따르면 ToF의 해상도는 채널 대역폭에 비례한다.
- AoA ($\mathbf{\phi}$), AoD ($\mathbf{\varphi}$). 얘네들은 Tx/Rx의 안테나가 많을 수록 해상도가 높아진다.
- Doppler Shift ($\mathbf{\gamma}$). Tx, Rx 혹은 전파가 반사된 물체 그 어느 하나라도 상대적으로 움직임이 있다면 도플러 효과에 의한 주파수 변화가 발생한다. 이 파라미터는 관찰 간격이 클수록 더욱 정밀한 값을 얻을 수 있다고 한다.
- Complex attenuation ($\mathbf{\alpha}$).
경로 전파 모델
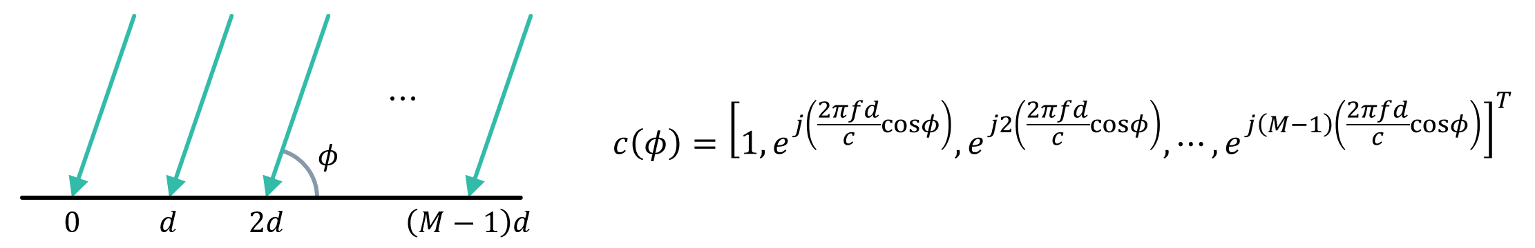
Tx 안테나 $N$개, Rx 안테나 $M$개가 각자 $d$의 간격으로 배치되어 있다고 하자.
- 안테나 별 발신 신호 : $U(t)=[u_1(t), u_2(t), \cdots, u_N(t)]^T$ [^0]
[^0]: 논문에서 Transpose는 되어있지 않지만 아래 식과 아귀가 맞기 위해서 $U$는 Column Vector여야 한다.
- 수신단에 도달하는 신호 : $s(t;v)=\alpha e^{j2\pi\gamma t}c(\phi)g(\varphi)^TU(t-\tau),\quad v=[\phi, \varphi, \tau, \gamma, \alpha]^T$
- $g(\varphi)$ : $N$-element transmit array steering vector. $N$개의 안테나에서 나오는 신호 사이의 Phase 관계.
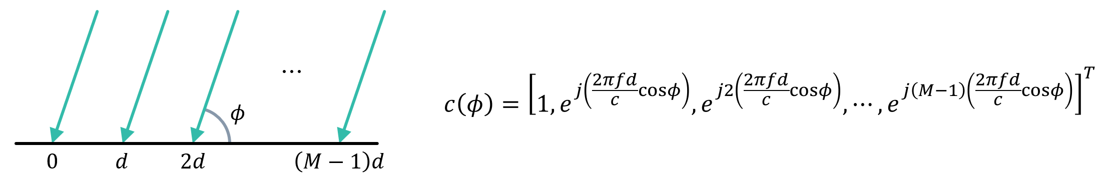
- $c(\phi)$ : $M$-element receive array steering vector. $M$개의 안테나에서 수신한 신호 사이의 Phase 관계.

- 안테나 별 수신 신호 : $y(t)=s(t)_{M\times 1}+W(t)_{M\times 1}$
- $W(t)=[w_1(t), w_2(t), \cdots, w_M(t)]^T$ : $M$차원 가우시안 노이즈
파라미터 추정하기
경로 하나의 파라미터 추출
Tx-Rx 사이에 Singlepath만이 존재하고, Phase Offset이 없는 완벽한 트랜시버가 구비되어 있다고 하자. Multipath와 Phase Offset은 뒤에서 고려할 것이다.
파라미터를 구하기 위해서는 가장 먼저 Channel State를 구해야 한다. Tx 안테나 2개와 Rx 안테나 2개가 있을 때 서브캐리어 $k$의 채널은 다음과 같이 나타낼 수 있다[^a] [^b].
[^a]: 논문에서는 이 부분에서 서브캐리어 수를 $N$이라고 하는데, Tx 안테나 수와 헷갈릴 수 있으므로 이 글에서는 논문 Figure 7에 나온 대로 $F$라고 서술한다.
[^b]: 또한 논문에서 $H$와 $h$에 대해 Notation 자체가 틀린 부분도 있고 헷갈리게 되어 있는데, 이 글에서는 $H$를 아래 식과 같이, 그리고 $h$에 대해서는 $h_{ij,k}$로 통일하여 바로잡아 서술한다. $i$는 Tx 안테나 인덱스, $j$는 Rx 안테나 인덱스, $k$는 서브캐리어 인덱스다.
$$H_k=\left[\begin{matrix}h_{11,k} & h_{12,k} \ h_{21,k} & h_{22,k}\end{matrix}\right],\quad k=[1,2,\cdots,F]$$
지금부터 이 $h$들을 LTF의 특성과 수신한 LTF 구간의 신호 $\textbf{x}$를 이용해서 구할 것이다.
802.11n에서 MIMO를 사용하면 각 안테나를 구분하기 위한 목적으로 LTF를 나열할 때 Mapping Matrix $P_{HT-LTF}$를 곱하게 되는데[^1] [^2], 여기서는 Tx 안테나가 두 개이고 LTF가 2번 오므로, 아래처럼 좌상단 $2\times 2$를 잘라서 사용하게 된다[^3].
[^1]: 논문에서는 갑작스런 신호 레벨 증가를 막기 위해서라고 하는데, 딱히 이 말은 그다지 이해가 가지 않는다. Tx 안테나를 구분하여 이용하기 위한 목적이라고 보는게 훨씬 맞다고 생각한다.
[^2]: 논문에서는 $P_{HTLTF}$라고 되어 있고, 실제 옛날 표준에서 도 그렇게 칭했으나, 최신 표준에서는 $P_{HT-LTF}$로 표기가 변경되었다.
[^3]: $N_{TX}$, 그리고 2개의 LTF 필드가 존재하는 이유와 관련해서는 802.11-2016 19.3.13.1에 자세히 설명되어 있다.
$$P_{HT-LTF}=\left[\begin{matrix}1 & -1 & 1 & 1 \ 1 & 1 & -1 & 1 \ 1 & 1 & 1 & -1 \ -1 & 1 & 1 & 1\end{matrix}\right]\Rightarrow\left[\begin{matrix}1 & -1 \ 1 & 1\end{matrix}\right]$$
각 안테나 별 Tx 안테나에서 전송되는 LTF와 $P_{HT-LTF}$의 곱 $P_{HT-LTF}\times \text{LTF}$의 IFFT를 시간축 그림으로 나타내면 아래와 같다. $P\times \text{LTF}$는 주파수 영역임을 기억하자.

위 그림대로 두 신호를 두 안테나가 동시에 발신했을 때, 수신 측에서 받는 신호(FFT 이후)는 $P_{HT-LTF}\times \textbf{LTF}(k)$에 채널 상태를 곱해서 아래처럼 나타낼 수 있다. 아래 중간 식에서의 $h$의 배열은 $H_k^T$와 같다. $k$는 서브캐리어 인덱스이다.
$$\begin{matrix}\left[\begin{matrix} \textbf{x}_{1,k,t_1} & \textbf{x}_{1,k,t_2} \\ \textbf{x}_{2,k,t_1} & \textbf{x}_{2,k,t_2} \end{matrix}\right]&=&\left[\begin{matrix} h_{11,k} & h_{21,k} \\ h_{12,k} & h_{22,k} \end{matrix}\right]\cdot\left[\begin{matrix} 1 & -1 \\ 1 & 1 \end{matrix}\right]\cdot\left[\begin{matrix}\text{LTF}(k)&\text{LTF}(k)\\\text{LTF}(k)&\text{LTF}(k)\end{matrix}\right]\\&=&\left[\begin{matrix} h_{11,k} +h_{21,k} & -h_{11,k}+h_{21,k} \\ h_{12,k}+h_{22,k} & -h_{12,k}+h_{22,k} \end{matrix}\right]\cdot\textbf{LTF}(k)\end{matrix}$$
사실 위처럼 $H_k$와 $P_{HT-LTF}$를 곱하기 전에 양변에 $P^T_{HT-LTF}$를 곱해서 LTF와 $H_k^T$만을 남길 수 있다.
$$\left[\begin{matrix} \textbf{x}_{1,k,t_1} & \textbf{x}_{1,k,t_2} \\ \textbf{x}_{2,k,t_1} & \textbf{x}_{2,k,t_2} \end{matrix}\right]\cdot\left[\begin{matrix} 1 & 1 \\ -1 & 1 \end{matrix}\right]=2\cdot\left[\begin{matrix} h_{11,k} & h_{21,k} \\ h_{12,k} & h_{22,k} \end{matrix}\right]\cdot\textbf{LTF}(k)$$
이렇게 받아서 FFT한 신호에 $P^T_{HT-LTF}$와 $2\textbf{LTF}(k)$의 역행렬을 곱해서 서브캐리어 $k$에서의 채널 상태 ${h_{11}, h_{12}, h_{21}, h_{22}}$를 추정할 수 있다.
참고로 $H$는 행이 Rx 안테나 인덱스 열이 Tx 안테나 인덱스이고, $\textbf{X}$는 행이 Rx 안테나 인덱스고 열이 시간이다.
이렇게 추정한 채널 상태는 이제 본격적으로 파라미터 추정에 이용하게 된다. 앞으로 설명할 이 논문의 파라미터 추정 과정은 아래와 같다.

AoA와 AoD를 주파수 영역에서 구하고, 도플러 효과, ToF와 Amplitude Attenuation은 시간 영역에서 구하게 된다.
AoA & AoD 구하기
Angle of Arrival
하나의 Tx 안테나에서 발신된 Singlepath 신호가 여러 개의 Rx 안테나에 도달할 때, Rx 안테나가 규칙적으로 배열되어 있다면 그에 따라 전파 거리가 일정하게 달라질 것이다. 그리고 이는 각 Rx 안테나에서 얻은 채널 상태에 반영되어, 전파 거리 차이에 따른 규칙적인 Phase Offset이 나타날 것이다.
예시를 하나 들어보자. 아래 그림은 Rx 안테나 3개에서 얻은 특정 서브캐리어에서의 채널 상태 복소수를 복소좌표계에 표시한 것인데, 옥색 R1과 회색 R2/R3가 바로 규칙적인 Phase Offset이 나타난 채널 상태다. Amplitude 값은 그냥 저렇다고 가정하자.

Steering Vector의 정의에 의해 이 규칙적인 Phase Offset은 각 Rx 안테나에서 얻은 채널 상태에 적당한 Steering Vector를 곱해서 없앨 수 있고, Phase Offset이 사라진 채널 상태는 모두 Phase값이 같아져 그들의 합의 Power는 최대가 될 것이다. 이 경우가 바로 위 그림에서 옥색 점 세개이다. 이를 수식으로 나타내면 아래와 같다.
$$\text{Appropriate steering vector}=\underset{\text{steering vector}}{\operatorname{arg max}}\left\Vert \left[\begin{matrix}h_{R1} & h_{R2} & h_{R3}\end{matrix}\right] \cdot \text{steering vector}\right\Vert^2$$
Steering Vector는 $\phi$의 함수이므로, 위 식의 결과값을 만들어내는 $\phi$가 바로 AoA 추정값 $\phi^*$가 된다.
돌아와서 이 논문에서 제시한 Tx/Rx 안테나가 각각 2개씩인 구조에 적용해보자. 채널 상태와 Rx steering vector $c(\phi)$를 곱한 값을 $h'$라 하면, $\phi^*$는 아래와 같이 적을 수 있다.
$$\left[\begin{matrix}h'_{1,k}(\phi)\\h'_{2,k}(\phi)\end{matrix}\right]=\left[\begin{matrix}h_{11,k} & h_{12,k} \\ h_{21,k} & h_{22,k}\end{matrix}\right]c(\phi)$$
$$\phi^*=\underset{\phi}{\operatorname{arg max}}\sum^2_{i=1}\sum^F_{k=1}\left\Vert h'_{i,k}(\phi)\right\Vert^2$$
모든 Tx-Rx 안테나 쌍에서 $\phi$는 거의 같으므로, 모든 안테나에 대해 Steering Vector를 곱하고 합친 Power가 가장 큰 $\phi$을 찾아내는 것으로 $\phi^*$를 얻은 것이다. $i$는 Tx 안테나 인덱스, $k$는 서브캐리어 인덱스이다.
Angle of Departure
AoA에서 했던 것과 같은 원리로, Tx 안테나에 대해 가장 적당한 Steering Vector를 구하여 AoD 추정치 $\varphi^*$를 얻을 수 있다.
$$\varphi^*=\underset{\varphi}{\operatorname{arg max}}\sum^F_{k=1}\left\Vert h''_{k}(\varphi;\phi^*)\right\Vert^2,\quad h''_k=g_(\varphi)^H\left[\begin{matrix}h'_{1,k}(\phi^*) \\h'_{2,k}(\phi^*)\end{matrix}\right]$$
$g(\varphi)$를 Transpose가 아닌 Hermitian으로 적은 건 단순히 $g$를 어떻게 정의하느냐에 따라 달린 것으로, 뭐가 되든 결국 특정한 AoD 값을 추정할 수 있을 것이다.
Doppler Shift & ToF 구하기
이제 AoA와 AoD를 구했으니 AoA, AoD에 의한 Phase Shift 효과가 제거된 시간 영역 수신 시그널을 재건할 수 있다.
$$y''(t;\phi^*,\varphi^*)=\mathcal{F}^{-1}\{H''(\varphi^*,\phi^*)\odot \text{LTF}\},\quad H''=[\begin{matrix}h''_1&h''_2&\cdots&h''_F\end{matrix}]$$
$\odot$은 element-wise multiplication이고, 여기서 $\text{LTF}$는 주파수 영역에 있다. 이를 활용하여 앞에서 나왔던 수신단 신호 $s(t)_{M\times 1}$에서 AoA, AoD 효과를 제거한 신호 $s'(t)_{1\times 1}$를 적어보면 아래와 같다.
$$s'(t)_{1\times 1}=\alpha e^{j2\pi\gamma t}y''(t;\phi^*,\varphi^*)$$
이제 위에서 했던 방법과 비슷하게 Correlation Peak를 찾을 것이다. 먼저 ToF $\tau$부터 찾아보자[^4].
[^4]: 이 글에서는 $\tau$와 $\gamma$를 순차적으로 찾지만 논문에서는 Doppler Shift와 ToF를 동시에 찾고, 뒤에서 또 $z$라는 Unified Estimator를 소개한다. 왜 내가 이악물고 $z$를 무시하면서 Doppler Shift와 ToF 추정이 분리된 논문 정리를 했는지는 <알고리즘 최적화> 섹션에서 다뤘다.
Time of Flight
위에서 Tx 안테나 별 송신 신호를 $U(t)_{N\times 1}$라고 표시했다. 이번에는 각 안테나로 분배되기 이전 송신 신호를 $\underset{\leftarrow}{U}(t)_{1\times 1}$라고 하자. 이를 활용해서 아래와 같이 ToF를 찾을 수 있다.
$$\tau^*=\underset{\tau}{\operatorname{arg max}}\int_Ty''(t;\phi^*,\varphi^*)\underset{\leftarrow}{U}(t-\tau)dt$$
여기서 $T$는 $y''$의 신호 길이, $\tau^*$는 $\tau$의 추정치이다.
Doppler Shift
다시 한 번 Correlation을 이용하여 Doppler Shift 파라미터를 구할 수 있다.
$$\gamma^*=\underset{\gamma}{\operatorname{arg max}}\int_Te^{-j2\pi\gamma t}y''(t;\phi^*,\varphi^*)\underset{\leftarrow}{U}(t-\tau^*)dt$$
Attenuation 구하기
위에서 구한 네 가지 파라미터를 가지고 아래와 같이 Amplitude Attenuation 정도를 구할 수 있다.
$$\alpha^*=\frac{1}{M\cdot T\cdot P}\int_Te^{-j2\pi\gamma^* t}y''(t;\phi^*,\varphi^*)\underset{\leftarrow}{U}(t-\tau^*)dt$$
$M$은 Rx 안테나 수, $T$는 $y''$ 신호의 길이, $P$는 송신 전력이다.
여러 경로의 파라미터 추출
이때까지 Singlepath에 대한 이야기를 했다. 여러 경로를 다루는 건 Self Interference Cancellation을 하듯이 중첩되어 있는 $s(t)$를 여러 $s(t)$로 분리하고, 각각의 $s(t)$에 대해 파라미터 벡터 $v=[\phi, \varphi, \tau, \gamma, \alpha]^T$를 뽑아내는 방식으로 진행된다.
총 하나의 수신 신호에 들어있는 수많은 Multipath 중 $L$개의 Multipath를 뽑아낸다고 가정하자. SIC 방식을 그대로 따르면서 백색 소음 레벨까지 내려가게 되면 더이상 Multipath를 뽑을 수 없게 될 것인데, $L$은 그때까지 뽑을 수 있는 Multipath의 수로 한정된다.
$$Y(t)=\sum^L_{l=1}s_l(t;v_l)+\hat{\mathbf{W}}(t)$$
$Y(t)$는 수신 신호, $\hat{\mathbf{W}}(t)$는 큼직한 덩어리를 다 뽑아내고 남은 백색 소음 + 뽑아낼 수 없었던 소음이 되어버린 시그널이다.
하지만 여기까지만 하면 여전히 $s_l(t)$가 서로 겹쳐 있어서 상당히 부정확하게 $s_l(t)$이 뽑힌다고 한다. 그래서 나온 것이 한번 더 신호를 뽑아내는 것이다. 즉, 모든 $s_l(t)$에 대해 아래의 계산을 진행한다.
$$y'_l(t)=s_l(t;v_l)+\hat{\mathbf{W}}(t)\quad\Rightarrow\quad s'_l(t;v_l')$$
여기서 주의할 점은 $\hat{\mathbf{W}}$를 계속 업데이트하면서 진행하는 것이다. 예를 들어, $y'_1(t)$에서 $s'_1(t)$을 뽑아 내고, 나머지 신호를 $\hat{\mathbf{W}}$에 합산한다. 이후 그렇게 업데이트한 $\hat{\mathbf{W}}$를 사용해서 $y'_2(t)$를 구성하고, 거기서 또 $s'_2(t)$를 뽑아 낸다. 이 과정은 추출된 $l$번 신호에 대해, 큰 변화가 없을 때까지 계속 반복한다. 즉, $s_l\rightarrow s'_l \rightarrow s''_l \rightarrow \cdots$ 이다. 여기서 '큰 변화'를 판단하는 기준은 유동적으로 조절할 수 있는데 저자들은 이를 각 파라미터 찾기의 간격인 $0.02\text{rad}$, $0.5ns$, $0.1\text{Hz}$로 설정했다고 한다^[Section 6.3에 나와 있다.]. 또한, 논문에 따르면 이 반복 알고리즘으로 파라미터 벡터를 찾으면 거의 항상 수렴하는 값이 나온다고 한다.
이 과정은 아래 그림에 잘 나타나 있다.

알고리즘 최적화?
이 논문에서는 위에서 내가 적은 것과 다르게 아래의 Unified Estimator $z$를 제시하여 한번에 AoA, AoD, Doppler Shift, ToF를 추정한다.
$$z(\phi, \varphi,\tau,\gamma)=\int_Te^{-j2\pi\gamma^* t}\mathcal{F}^{-1}{g^H(\varphi)Hc(\phi)\odot \text{LTF}}\underset{\leftarrow}{U}(t-\tau)dt$$
$$(\phi, \varphi, \tau, \gamma)_{est}=\underset{v}{\operatorname{arg max}}|z(\phi,\varphi,\tau,\gamma)|$$
그리고 Channel Attenuation $\alpha$는 아래의 식으로 계산한다.
$$\alpha_{est}=\frac{1}{M\cdot T\cdot P}z((\phi,\varphi,\tau,\gamma)_{est})$$
하지만 파라미터 $\phi$, $\varphi$, $\tau$, $\gamma$의 경우의 수를 각각 $p_\phi$, $p_\varphi$, $p_\tau$, $p_\gamma$라고 하면 이렇게 합쳐진 Estimator $z$는 총 $p_\phi\cdot p_\varphi\cdot p_\tau\cdot p_\gamma$의 Input 공간에서 최적값을 찾게 된다.
저자들도 이게 오버헤드가 있다는 걸 알고 있으며, 네 개를 동시에 찾는 것보다는 찾지 못한 파라미터를 고정시키고 순차적으로 찾는 아래의 방법을 뒤에서 "Reducing computational complexity"라며 제시한다.
$$\phi^*=\underset{\phi}{\operatorname{arg max}}|z(\phi,\varphi_\text{fixed},\tau_\text{fixed},\gamma_\text{fixed})|$$
$$\varphi^*=\underset{\varphi}{\operatorname{arg max}}|z(\phi^*,\varphi,\tau_\text{fixed},\gamma_\text{fixed})|$$
$$\tau^*=\underset{\tau}{\operatorname{arg max}}|z(\phi^*,\varphi^*,\tau,\gamma_\text{fixed})|$$
$$\gamma^*=\underset{\gamma}{\operatorname{arg max}}|z(\phi^*,\varphi^*,\tau^*,\gamma)|$$
즉, Input 공간을 $p_\phi\cdot p_\varphi\cdot p_\tau\cdot p_\gamma$ 에서 $p_\phi+ p_\varphi+ p_\tau+ p_\gamma$로 줄이는 것이다.
고정하는 파라미터 값은 이전 Iteration에서 찾은 값을 활용한다고 한다. 제일 첫 번째 Iteration에서는 무슨 값으로 고정하는지 나와있지 않으며^[그저 가장 빠르게 수렴하는 지점을 조심스레 선택했다고 한다.], 논문 중간의 "이 알고리즘은 글로벌 맥시멈을 보장하지 않는다"는 설명이 이와 관련이 있어보인다.
여기서 내가 든 생각이 "그럴거면 그냥 처음부터 $\mathbf{z}$를 제시하지 않고 순차적으로 계산하면 되는 것 아닌가?" 이다.
위에서 내가 서술한대로, 그리고 논문 초반 AoA, AoD Estimator 설명에서 했던대로만 계산하면 굳이 $z$를 끝까지 계산할 필요 없이 $\phi$, $\varphi$값을 찾을 수 있어 한 번 추정하는 것에 대한 계산 양 자체도 줄어들 것이다.
아직 논문 저자들이 왜 굳이 $z$의 개념을 제시했는지 잘 모르겠다.
채널 측정 오차 바로잡기
와이파이 하드웨어에는 어쩔 수 없이 오차가 생기기 마련이다. 그리고 그 오차는 파라미터 및 Multipath 추정에 영향을 미친다.
이 논문에서는 각 파라미터에 오차를 주는 주된 원인을 아래 다섯 가지로 지정하고 있다.
- Tx 체인의 Phase Offset → AoD 오차의 원인. 기계적 문제로 Tx의 모든 포트에서 동일한 Phase의 신호가 나오지는 않는데, 그 Offset을 말한다.
- Rx 체인의 Phase Offset → AoA 오차의 원인. 기계적 문제로 Rx의 각 포트마다 같은 신호를 약간씩 다른 Phase로 받아들이는데, 그 Offset을 말한다.
- Sampling Frequency Offset → ToF 오차의 원인. Sampling Timing이 계속해서 일정하게 밀리는 것이다.
- Symbol Timing Offset → ToF 오차의 원인. 일정하게 증가하는 Frequency Offset 외에도 상수값으로 존재하는 Sampling Timing의 차이이다.
- Carrier Frequency Offset → Doppler Shift 오차의 원인. Up/Down converting에서의 주파수 차이이다.
그리고 아래의 방법대로, Channel Estimation 이전에 Channel Information Correction을 진행한다.
Tx/Rx Phase Offsets 제거
Tx/Rx 포트의 Offset은 Antenna-specific, Chip-specific한 수치이다. 따라서 이 논문에서는 자신들이 실험하는 기기에서 Tx-Rx 안테나 포트를 유선으로 연결하여 Chip에서 발생하는 Phase Error를 측정, 제거했다. 안테나 간의 차이에 의한 Phase Offset은 제거하지 않은 듯하다.
SFO, STO 제거

위와 같이 했다고 한다.
CFO 제거

위와 같이 했다고 한다.
구현 및 결과
구현

WARP v3 플랫폼과 일반 와이파이 라우터를 사용해서 채널 샘플링 장치를 구성했고, 워크스테이션 서버를 이용해서 컴퓨팅을 했다고 한다. 위 사진은 여러 테스트 환경 중 실내 회의실 환경의 구성이다.
성능
자세한 내용은 논문을 직접 확인하자.
- 해상력. 기존 기술 MUSIC, SpotFi와 비교했을 때 훨씬 정확했으며, 여기다가 AoD, ToF, Doppler를 추가한 경우 더욱 높은 해상력을 보여주었다고 한다.
- 처리 시간. $t_s$는 25ms로 설정했으며, 약 130ms의 컴퓨팅 시간을 보여주었다고 한다. 느려보이지만 SpotFi와 비교해서는 최소 14배 빠른 시간이라고 한다.